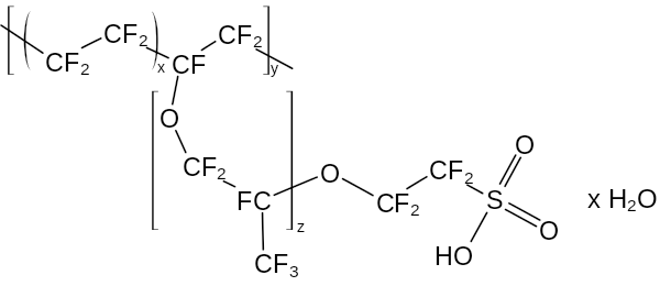
Nafion ist ein eingetragenes Warenzeichen der Firma Chemours für ein perfluoriertes Copolymer mit ionischen Eigenschaften. Als ionische Gruppe fungiert eine Sulfogruppe. Es wurde in den späten 1960er-Jahren federführend von Walther Grot (DuPont) als eine Modifikation von Teflon entwickelt. Nafion gehört zu den Ionomeren.
Eigenschaften
Die stark sauren Sulfonsäuregruppen im Nafion ermöglichten erstmals ein perfluoriertes Polymer mit ionischen Eigenschaften. Es zeigt einige grundlegend von denen des Teflon abweichende Charakteristiken unter Beibehaltung der hohen chemischen Resistenz:
- schnelle Diffusion von Wasser und Alkoholen, aber hydraulisch dicht
- selektiv leitend für Protonen und andere Kationen (Sperreffekt für Anionen)
- hohe Betriebstemperaturen im Vergleich zu anderen Polymeren (bis 190 °C)
Technische Anwendungen für Nafion-Membranen
- Ionenaustauscher-Membranen bei der Chlor-Alkali-Elektrolyse
- Trocknung oder Befeuchtung von Gasen aufgrund seiner hohen Selektivität und Permeabilität für Wasser(dampf)
- Protonen-Austauscher-Membran in Polymerelektrolyt- und Direktmethanolbrennstoffzellen
- Herstellung von Chromsäure und Regenerierung von verunreinigten Chrombädern
- Herstellung von Kaliumdicyanidoaurat(I) durch Auflösung einer Goldanode in Kaliumcyanid (KCN)
- Als stark saurer, fester Katalysator
Wie andere perfluorierte Austauschermaterialien verliert Nafion ab einer Temperatur von 100 °C weitgehend seine Protonenleitfähigkeit und zeigt in Direktmethanolbrennstoffzellen eine zu hohe Durchlässigkeit für Wasser und Methanol.
Weblinks
- Nafion-Eigenschaften (Memento vom 1. August 2013 im Internet Archive)
- What is Nafion? (Memento vom 27. September 2011 im Internet Archive)
Handelsnamen
- Nafion (Chemours)
- Flemion (Asahi)
Einzelnachweise




